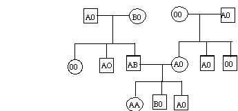
Figure 4

An example of genotype and the corresponding phenotype chart for ABO blood type, which is a co-dominant trait.






Back to Learning Mendelian Genetics through a Coin Toss Game
Back to Omoto's Bibliography