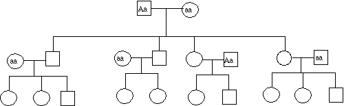
a) For a dominant trait. Examples of dominant disease in humans include Marfan Syndrome, Alzheimer's disease, and amylotrophic lateral sclerosis or Lou Gehrig's disease.


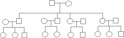
b) For a recessive trait. Examples in humans include cystic fibrosis, sickle cell anemia, and albinism.


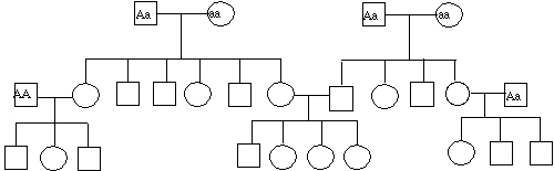
c) Another example of a pedigree chart for a recessive trait


d) For a sex-linked recessive trait. Examples in humans include
hemophilia, and many types of color-blindness including the most
common red-green form. note the mutant allele is labelled Xh


Back to Learning Mendelian Genetics through a Coin Toss Game
Back to Omoto's Bibliography